2022-09-26から1日間の記事一覧

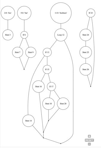
McCabe を使って Python コードの複雑度をチェックしよう!

McCabe とは 循環的複雑度とは 試してみる インストール 実行方法 flake8 のプラグインとして まとめ あわせて読みたい McCabe とは github.com Python コードの複雑さをチェックしてくれるモジュールです。複雑さをチェックすることで、保守性の悪いコード…

【Cloud Automator】ジョブワークフローの先頭ジョブに手動トリガーを指定可能にし、1つのジョブワークフローに最大20ジョブを登録可能にしました

2020年1月に公開いたしましたジョブワークフロー機能ですが、その後も継続的にアップデートしております。リリース以降、ご利用いただいたお客様からの声をもとにしたUIアップデートはもちろんのこと、以下のようなアップデートをいたしました。 ジョブワー…

【Amazon Connect】AITalk® WebAPIの音声プロンプトを動的に連携するデモンストレーション

Amazon Connectのコンタクトフローで利用する音声として、サードパーティWEBサービスを利用し、動的に連携する仕組みを検証してみました。実際の動作を動画としてもご覧いただけます。 概要 構成 動作デモ 最後に 概要 Amazon Connect の2022年4月のアップデ…

Amazon Redshift Serverless から Aurora Serverless PostgreSQL 互換バージョンにフェデレーテッドクエリしてみた

コーヒーが好きな木谷映見です。 Amazon Redshift はフェデレーテッドクエリをサポートしています。 Redshift でのフェデレーテッドクエリの概要については以下のブログをご参照ください。 blog.serverworks.co.jp 今回は、Amazon Redshift Serverless から …

Amazon Redshift でのフェデレーテッドクエリの概要

コーヒーが好きな木谷映見です。 Amazon Redshift はフェデレーテッドクエリをサポートしています。 今回は、フェデレーテッドクエリの概要について記載します。 フェデレーテッドクエリとは フェデレーテッドクエリでできること フェデレーテッドクエリでで…